苏教版八年级下册数学电子课本教材-苏教版初二下册数学
创始人
2025-10-05 00:00:46
0

如需全套各科电子课本PDF版(可下载打印)

请关注公众号“禾沐教辅网”( ID: hemujiaofu )

关注后自动获取资料合集(包含下列推荐资料)

500T学习资料分享

同步25年秋季学校教学进度持续更新.......

苏教版八年级下册数学目录如下:

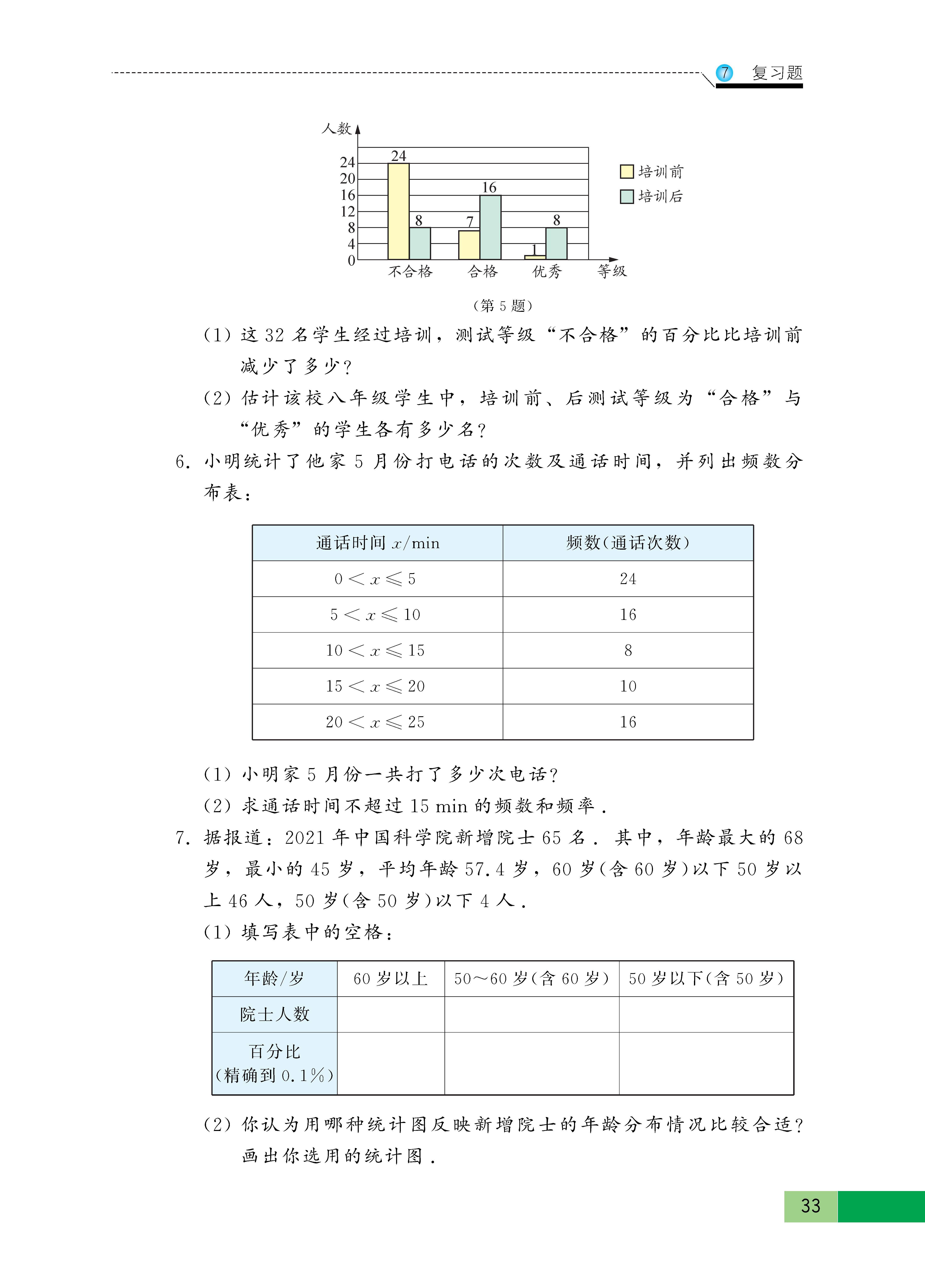
第 7 章 数据的收集、整理、描述

7.1 普查与抽样调查

7.2 统计表、统计图的选用

7.3 频数和频率

7.4 频数分布表和频数分布直方图

第 8 章 认识概率

8.1 确定事件与随机事件

8.2 可能性的大小

8.3 频率与概率

第 9 章 中心对称图形 —— 平行四边形

9.1 图形的旋转

9.2 中心对称与中心对称图形

9.3 平行四边形

9.4 矩形、菱形、正方形

9.5 三角形的中位线

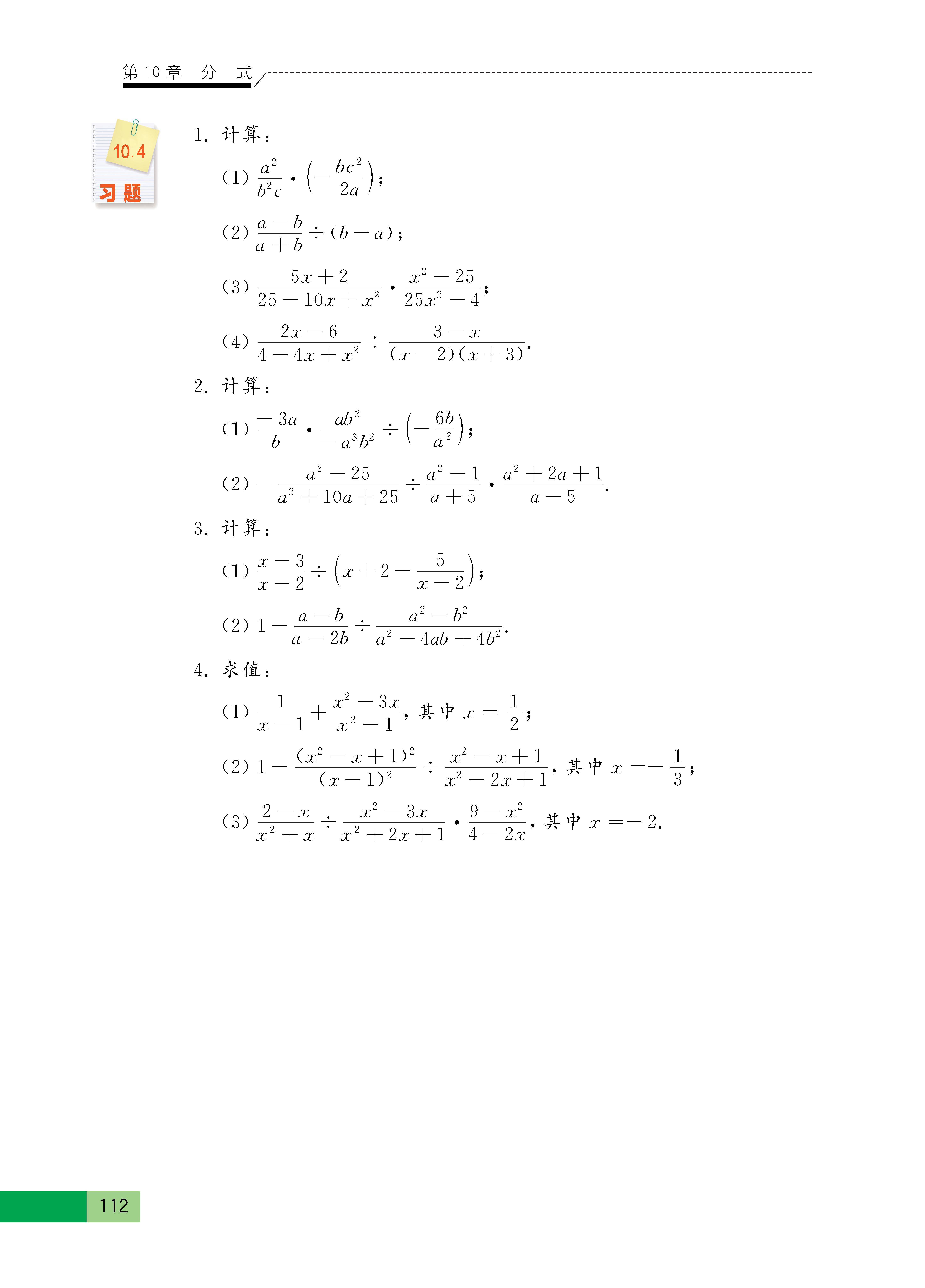
第 10 章 分式

10.1 分式

10.2 分式的基本性质

10.3 分式的加减

10.4 分式的乘除

10.5 分式方程

第 11 章 反比例函数

11.1 反比例函数

11.2 反比例函数的图象与性质

11.3 用反比例函数解决问题

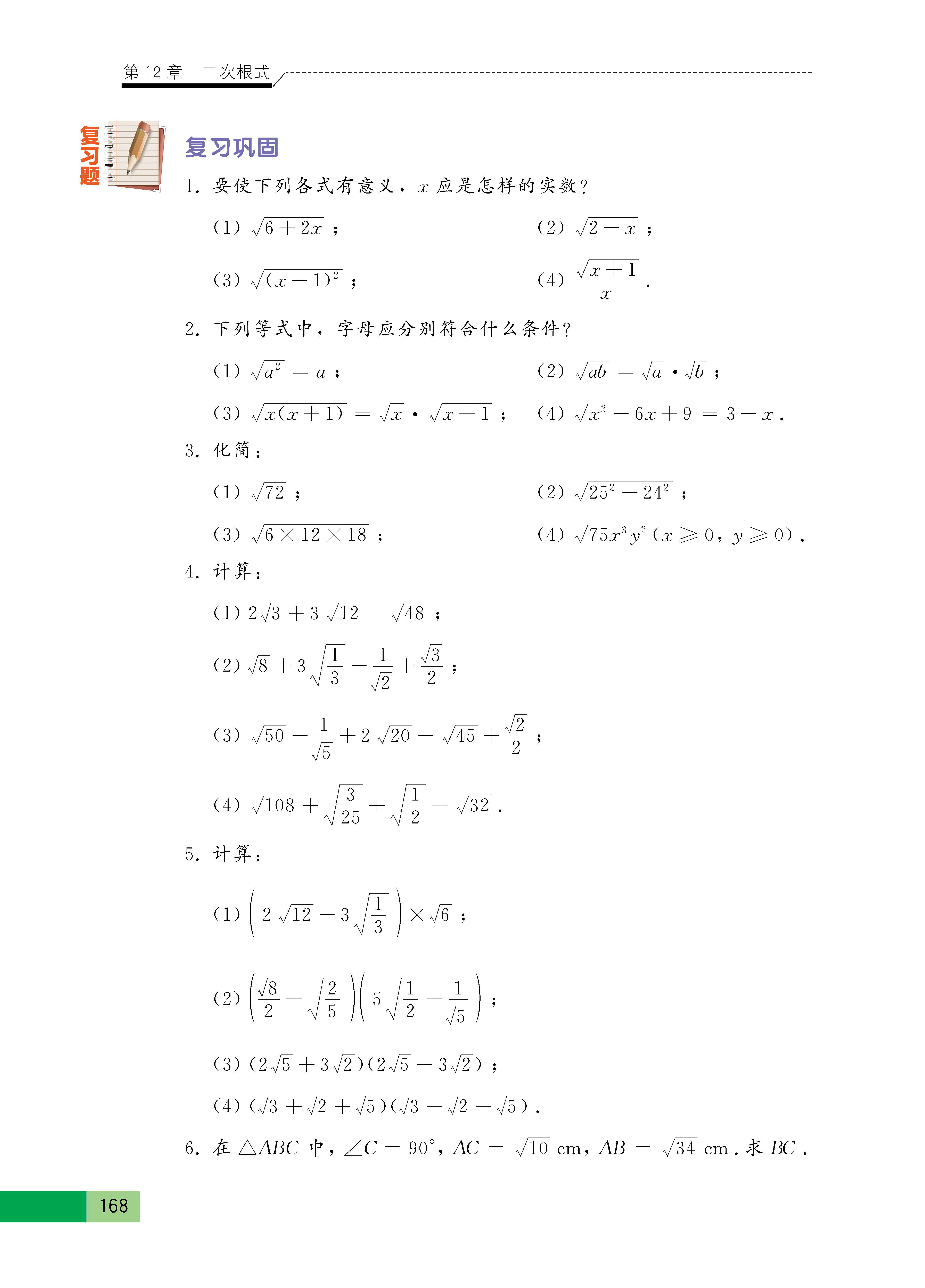
第 12 章 二次根式

12.1 二次根式

12.2 二次根式的乘除

12.3 二次根式的加减

相关内容

最新资讯

如何选中学辅导方式?家长必知的... 中等学校学生的课程辅导,是对学生巩固知识有帮助的重要路径,是能提升学生学习能力的重要路径。我是长时间...
看完《许我耀眼》14万字原著,... 一口气看完《许我耀眼》14万字原著《大乔小乔》,内心许久无法平静下来。本以为能看到许妍跟沈皓明破镜重...
锡安归来!鹈鹕季前赛如何揭示新... 在这个星光熠熠的墨尔本之夜,新奥尔良鹈鹕队以107-97战胜墨尔本联队,迎来了一个重要的季前赛。然而...
【视频】龙口西小学36天的“庞... 如何让孩子喜欢写作业?让作业既不枯燥又达到知识训练效果? 岭南夏日的馈赠,成了广州市天河区龙口西小学...
巴黎FC主场2-0完胜洛里昂,... 请点击本文右上角的关注,感谢您的支持。 北京时间10月4日,2024-2025赛季法国足球甲级联赛第...
马鹿山小学组织学生参观禁毒教育... 为增强学生禁毒意识,提升自我保护能力,积极响应教育部号召,马鹿山小学组织各班级利用班会课时间,共同参...
排队也要拍的东水门大桥|202... 桥见山城|排队也要拍的东水门大桥:与山城天际线完美融合 在重庆,每座桥都是城市独特气质的象征,东水门...
男人阴囊潮湿?了解“两热一虚”... 阴囊潮湿,很多男性可能都有过这种尴尬的经历:明明每天都换内裤,却依然感觉裆部黏腻,尤其在炎热天气或长...
苏教版七年级下册数学电子课本教... 如需全套各科电子课本PDF版(可下载打印) 请关注公众号“禾沐教辅网”( ID: hemujiaof...
国庆假期,五台山花海之旅等你来... 在这个国庆假期,五台山将为您呈现一场花“漾”之旅,带您走进五彩斑斓的花海,感受自然的魅力与文化的深厚...