3月6日,江苏省公务员局发布《江苏省2026年度考试录用公务员省级机关职位入围面试人选公告》,全文如下:

根据《江苏省2026年度考试录用公务员公告》规定,省级各招录机关在报考本单位笔试合格人员中,根据笔试成绩从高到低的顺序,按照与拟录用人数3:1的比例,对入围面试人选进行报考资格复审,并根据有关规定对部分职位缺额人选进行递补。省级机关职位共有614名考生具备面试资格,现予以公布。如有意见,可向招录机关反映。
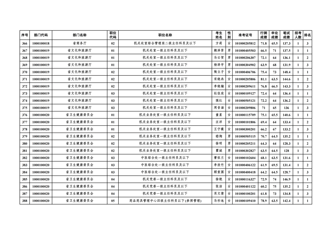
附件:江苏省2026年度考试录用公务员省级机关职位入围面试人选名单(614名)
江苏省公务员局
2026年3月6日
江苏省2026年度考试录用公务员
省级机关职位入围面试人选名单
(614名)
点击查看大图


























