
昨天,2026年中科大少年班科学营一阶段考试落幕!据悉,今年约2000人通过中科大少年班入围考取得科学营一阶段的参加资格。
今年考了什么内容?
考试难度如何?
赶紧跟小酷老师来看最新真题!
?题型题量:100分,6道题,均为大题!
⚠️试题难度:涉及复数、多项式、数列、概率、组合、解析几何等知识点;整体难度适中,题量较去年有所增加,注重基础与思维结合。






?题型题量:100分,共8题。7道大题,1道实验填空
⚠️试题难度:考察知识点涉及能量守恒、理想气体、干涉等内容;物理科目整体难度更高,只学高考课内很难应对部分题目。






其实能够进入到中科大少创班科学营一阶段的同学就已经是同龄人中的佼佼者了。不过想要成功进入中科大少年班还需要经历科学营二阶段和高考两大关卡。
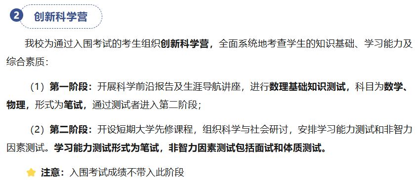
▲选拔流程

开设短期大学先修课程,组织科学与社会研讨,安排学习能力测试和非智力因素测试。学习能力测试形式为笔试,非智力因素测试包括面试和体质测试。
这里的学习能力测试采用的是现学现考的形式。什么是现学现考呢?简单来说,就是老师现场讲授或者播放本科甚至研究生阶段的数学或者物理学习内容,完成学习之后再进行测试。
顶尖高校选拔的并非“刷题机器”,而是思维拔尖、学习能力强的考生,只会刷题、只学课内的同学基本很难通过考试。

酷丁编程(原酷町堂青少年编程)成立于2014年,是国内成立较早的专业信息学编程培训机构,至今已深耕信奥编程领域十二年。自创办以来,酷丁编程坚持“为孩子提供一流编程教育,为社会培养卓越科技人才”的教育理念,累计为上万名学员提供系统化、专业化的编程培训,助力广大学员规划科技特长生路线,培养数字时代核心竞争力。自2014年起,酷丁编程学员在市赛、省赛、CSP-J/S、NOIP等斩获一等奖达1500余项,为安徽信奥省队输送顶尖选手近十人,各项大赛成绩稳居合肥市榜首!
酷丁编程结合自身生源优势,依托专业师资,聚焦国内高端升学路径,从小学阶段开始搭建起面向少年班、新领军等高端升学通道的课程体系,为广大学员进入国内高等学府提供更多路径规划。