根据《2026年苏州高新区教育系统公开招聘优秀毕业生公告》有关要求,苏州高新区教育系统公开招聘优秀毕业生资格复审、人员递补工作已经结束,现将进入面试人员名单予以公布(详见附件)。
关于面试相关事宜安排如下:
1. 时间: 2026年4月2日(周四),一天。
2. 地点:苏州高新区第一初级中学校(竹园路校区)。
3. 要求:面试当天进校时间为7:30-8:15,考生带好身份证、准考证、面试通知单于8:15前进校,迟到15分钟者,视作自动放弃。
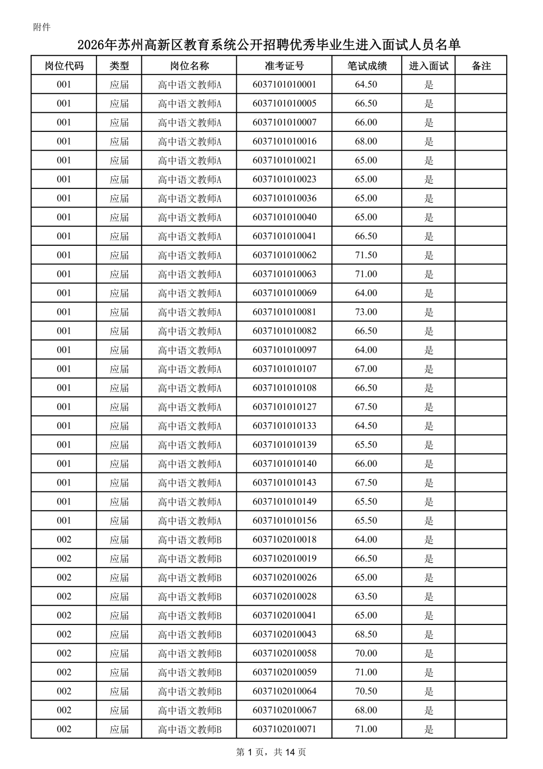
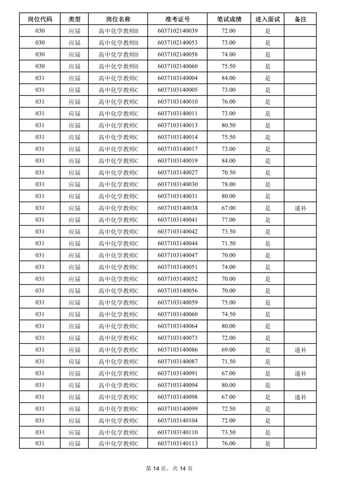
附件:2026年苏州高新区教育系统公开招聘优秀毕业生进入面试人员名单














苏州高新区(虎丘区)教育局
2026年3月31日
