速度真快!中南林业科技大学26考研一志愿拟录取名单
创始人
2026-04-03 02:14:43
0

中南林业科技大学在湖南省内院校中,可以说是第一批发布复试方案,和组织复试的。

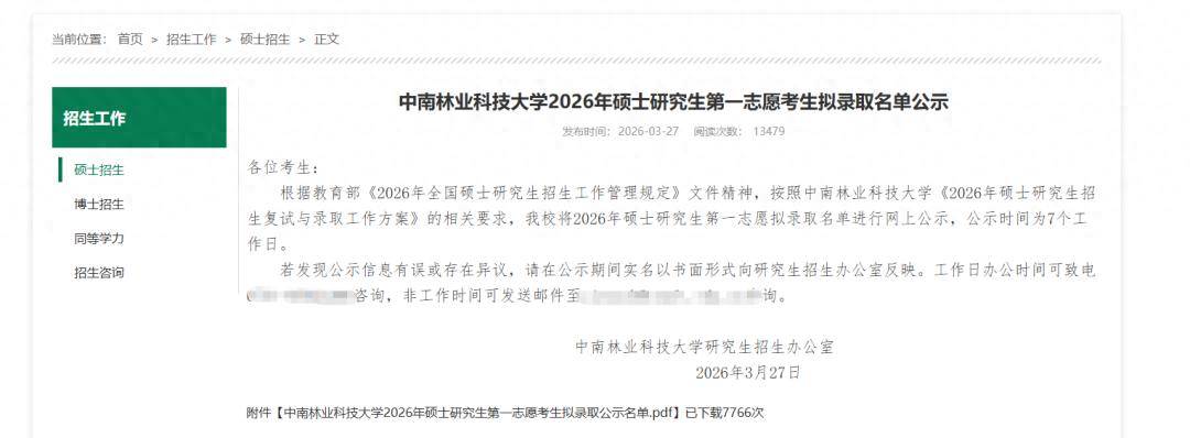
在别的院校还没组织复试的时候,中南林业科技大学在3月27日,就发布了一志愿的拟录取名单的公示,公示时间为7个工作日。

中南林业科技大学26考研一志愿拟录取名单

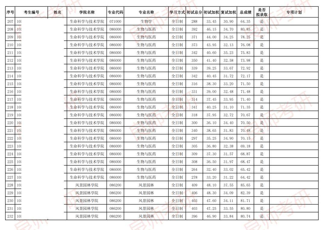
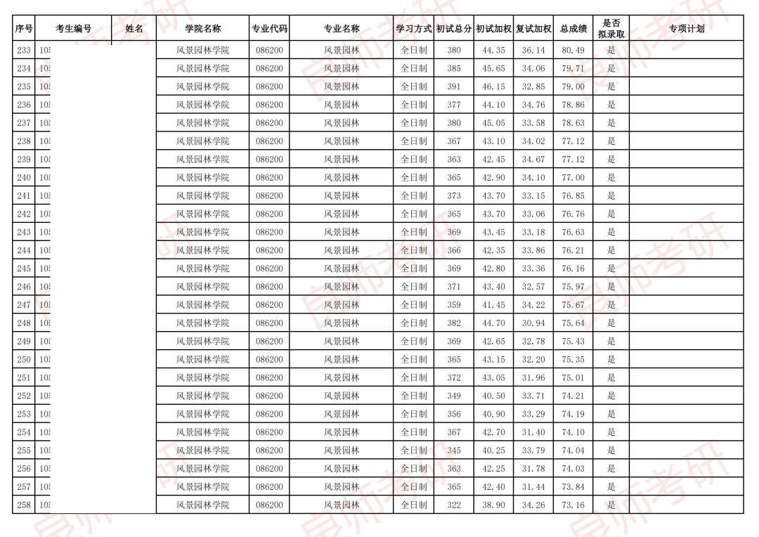
名单共34页,共有874名同学一志愿复试被拟录取,对比25考研一志愿拟录取(908人被拟录取)情况来看,缩招了3%。

目前,各院校陆续也将陆续发布调剂信息了,意向调剂的同学,可以开始着手了哦!

以下为中南林业科技大学26考研一志愿复试拟录取名单(部分)

相关内容

最新资讯

【古特雷斯警告战争或吞噬整个中... 【古特雷斯警告战争或吞噬整个中东,呼吁立即结束冲突】当地时间4月2日,联合国秘书长古特雷斯在纽约联合...
古特雷斯警告战争或吞噬整个中东... 当地时间4月2日,联合国秘书长古特雷斯在纽约联合国总部就美国、以色列与伊朗的持续冲突举行记者会,呼吁...
历史性的载人绕月飞行,别带着美... 美国“阿尔忒弥斯2号”环月飞行发射成功还是很轰动的,世界很多媒体使用了“历史性”这一评价。发射不久就...
美国总统特朗普相信,一旦伊朗战... 美国总统特朗普相信,一旦伊朗战争结束,利率将会下降。(DC Examiner)
奥地利拒绝美国使用其领空对伊行... △奥地利国防部(资料图) 奥地利国防部4月2日宣布,已拒绝美国方面“多次”请求,不允许美国使用奥地利...
普法护航促成长,临沂士博高级中... 齐鲁晚报·齐鲁壹点 通讯员 李宗宝 3月26日,临沂士博高级中学举行法制专题报告会。报告会上,学校法...
小手护安全 童心系家园 在“全民国家安全教育月”到来之际,为进一步增强师幼国家安全意识和安全防范能力,4月1日,沙雅县央塔克...
热门片区门槛提高!成都家长们,... 这两天,成都各个区今年小学和初中的招生政策都出来了。整体来看,变化不大。不过,部分区域有一些关键信息...
2027年湖北第二师范学院专升... 2027年湖北第二师范学院专升本招生简章 三、备考复习建议 1.一定要按照大学教授主编教材试卷复习...
速度真快!中南林业科技大学26... 中南林业科技大学在湖南省内院校中,可以说是第一批发布复试方案,和组织复试的。 在别的院校还没组织复试...