2025秋冀教版八年级数学上册电子课本(新教材PDF版)
创始人
2025-06-18 23:56:07
0

2025年秋季初二学生将迎来新版教材,新教材更加注重跨学科知识灵活运用!为了方便初中生在暑假预习新学期的课本知识,我们整理了新教材2025冀教版八年级上册数学电子课本,以图片的形式呈现给大家,希望对同学们的暑假学习有所帮助。

如需全套初中电子课本PDF版,请关注公众号“学习啦”( ID: xuexila )回复:“电子课本

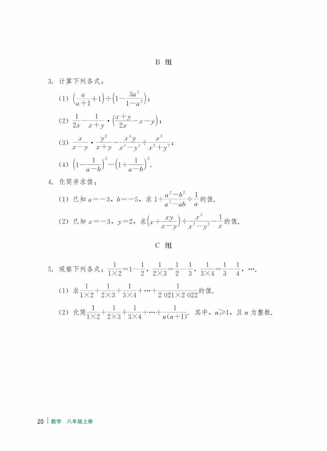
冀教版八年级数学上册电子课本图片版在线阅读

《2025秋新教材冀教版八年级上册数学电子课本》就为您介绍到这里,本公众账号分享的资源版权属于原出版机构,本资源为电子载体,传播分享仅限于家庭使用与交流心得、参考和辅助购买决策,不得以任何理由在商业行为中使用,若喜欢此资源,建议购买实体产品。

相关内容

最新资讯

2025年大理州初中美术教师教... 为推动全州初中美术教育发展,稳步推进义务教育《艺术课程标准》(2022年版)的落实,进一步更新教师教...
极狐汽车L3自动驾驶获官方认证... 随着科技的发展,人类离真正的无人驾驶又近了一步。2025年12月15日,工业和信息化部正式发布了我国...
极狐汽车L3自动驾驶获批,京台... 2025年的冬天,智能汽车行业迎来了一个里程碑式的时刻。就在比亚迪用“全系标配城市NOA”点燃广州车...
中国首块L3级自动驾驶专用正式... 红星资本局12月21日消息,12月20日,长安汽车(000625.SZ)宣布,首块L3级自动驾驶专用...
权威认证!巨龙加冕“高端智能外... 电动车市场竞争加剧、规范趋严,品牌认证成为实力核心标尺。巨龙外卖车深耕市场多年,获得市场及骑手的高度...
全国首块 L3 级自动驾驶专用... 12 月 20 日,全国首块 L3 级自动驾驶专用正式号牌 “渝 AD0001Z”落地,这张牌授予了...
重庆首颁L3级自动驾驶正式号牌... 重庆市公安局交通管理总队近日正式向长安汽车颁发了全国首块L3级自动驾驶专用正式号牌,编号为“渝AD0...
靠谱的汽车口碑营销公司有哪些 在汽车市场竞争日益激烈的当下,口碑营销对于汽车品牌的重要性愈发凸显。一家靠谱的汽车口碑营销公司能为汽...
魏建军再开炮!推出购车防忽悠指... 魏建军不跟风,车企乱吹牛,他偏要拆穿真相 2025年12月16号晚上,长城汽车董事长魏建军在欧拉5新...
车架号能查到哪些车辆信息?分享... “花15万买的‘2022款高配SUV’,过户时才发现是2020款低配改的,光配置差价就值3万!”二手...