2026冀教版七年级数学下册电子课本(新教材高清PDF版)
创始人
2026-01-24 11:34:40
0

新学期新变化,初一下册数学教材将更注重知识融合与实际应用!为帮助初中阶段师生家长预览复习,我们特将2026冀教版七年级数学下册电子课本(高清版)整理出来,希望可以为大家做好新学期铺垫。

如需全套初中电子课本PDF版,请关注公众号“学习方法君”(ID:xuexiffj)回复:“电子课本

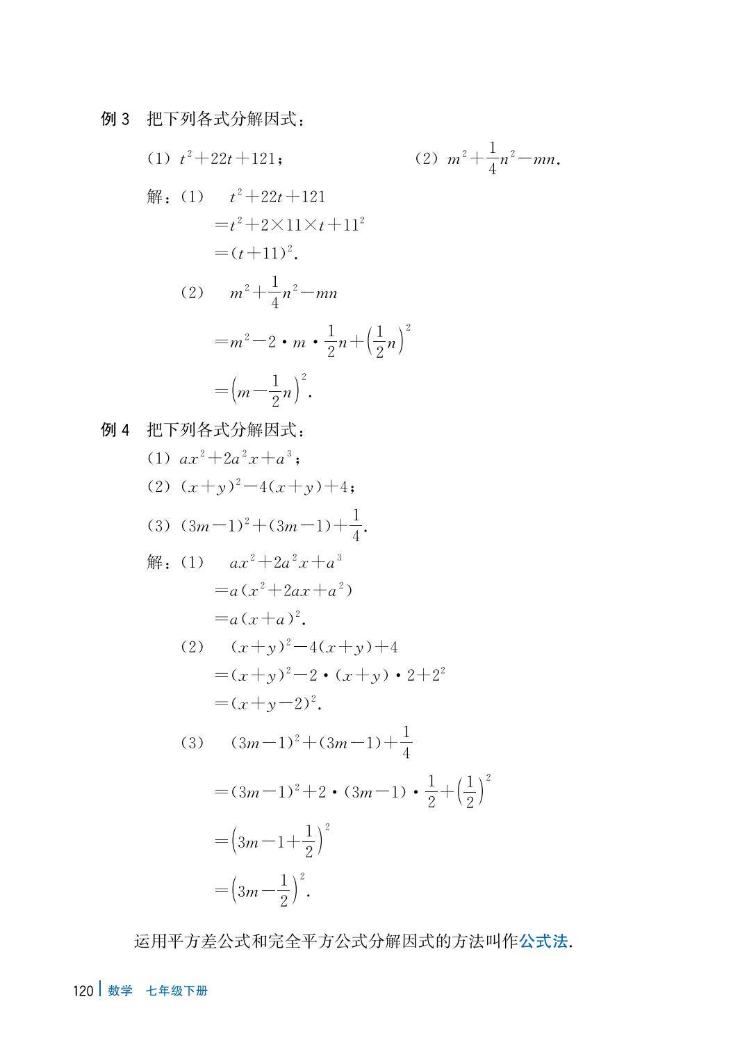
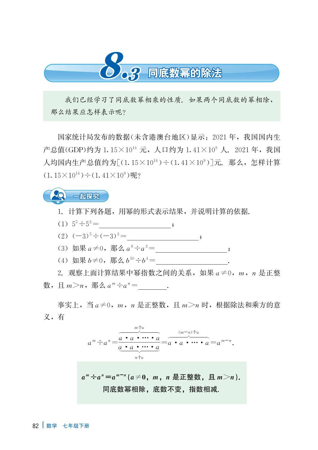
冀教版七年级数学下册电子课本图片版在线阅读

2026冀教版七年级数学下册电子课本(新教材高清PDF版)就为您介绍到这里,资源来源于网络,仅为学习交流之目的进行分享,其版权均归原出版社及作者所有。

相关内容

最新资讯

聚杰微纤(300819)最新动... 在股市的波涛汹涌中,聚杰微纤(300819)无疑是一个备受关注的焦点。截至2026年1月21日收盘,...
应届生月薪4万,去吗? 编者按:当美国签证审查趋严、STEM专业限制加码,曾是留学首选的北美赛道正经历显著变局 ——2025...
多地合并退役军人事务局,释放了... 近日,广东多地将原本分设的民政局与退役军人事务局合并引发热议。 1月8日,清远市佛冈县委编办发布《关...
致学生家长的一封信——关于科学... 尊敬的家长朋友、亲爱的同学们: 您好! 岁序更替,华章日新。伴随着冬日里温暖的阳光,孩子们翘首以盼的...
腾讯深圳总部企鹅变“拴Q”!官... 全球最强台风“桦加沙”即将登陆广东,广东各市区严阵以待。 今日,有网友晒出腾讯总部基地深圳滨海大厦门...
【工作动态】质量监测明导向靶向... 2025年以来,海北州教育局紧扣“以监测促改进、以数据谋发展”核心目标,充分发挥教学质量监测的诊断、...
2026北师大版二年级数学下册... 新学期新变化,二年级下册数学教材将更注重知识融合与实际应用!为帮助小学阶段师生家长预览复习,我们特将...
2026苏教版五年级数学下册电... 新学期新变化,五年级下册数学教材将更注重知识融合与实际应用!为帮助小学阶段师生家长预览复习,我们特将...
近八成在华美企乐观看待2026... 来源:北京日报客户端 中国美国商会16日发布的《2026年中国商务环境调查报告》显示,与上年相比,调...
外交部:在华美国企业的成功故事... 新华社北京1月19日电(记者袁睿、董雪)外交部发言人郭嘉昆19日表示,在华美国企业的成功故事印证了中...